¿Afectan las diferencia fisiológicas a la hipertrofia muscular?
Para comenzar, es importante indicar que las mujeres tienen aproximadamente 2/3 de la masa muscular que tiene el hombre. Esto se debe principalmente a factores genéticos y hormonales, ya que los hombres poseen entre 20-25 veces más testosterona que las mujeres.
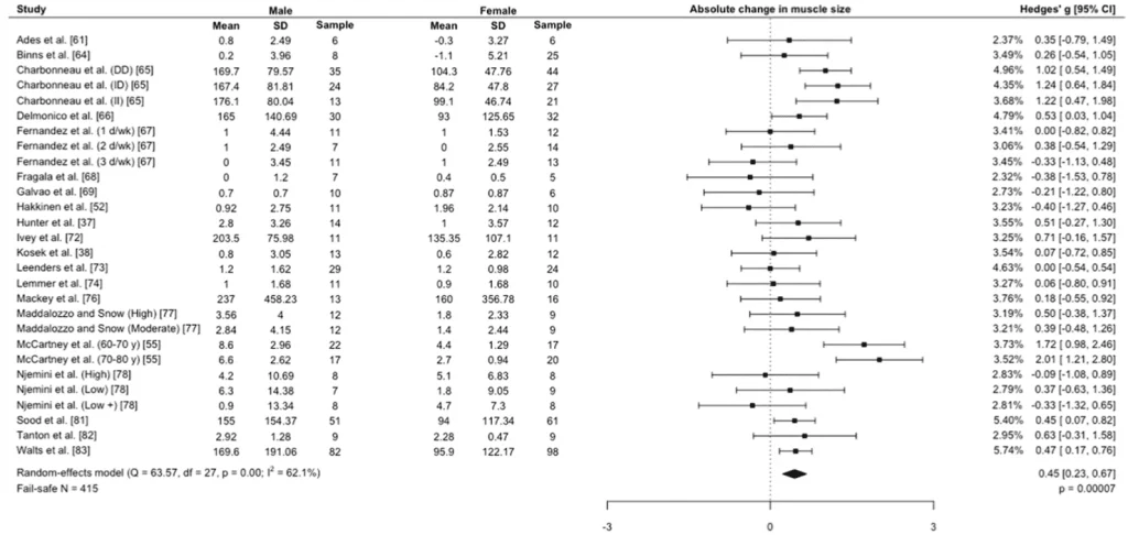
Esto es lo que lleva a pensar a muchas personas que los hombres ganan mucha más masa muscular que las mujeres, pero, ¿es eso cierto?
Tal y como nos comenta una investigación acerca de la diferencia de resistencia entre sexos, no parece haber una diferencia en la hipertrofia muscular entre hombres y mujeres, por lo cual, tanto hombres como mujeres pueden ganar masa muscular de manera similar.
Tenemos que saber que una de las limitaciones de una de las revisiones adjuntadas es en adultos mayores, donde el eje hormonal cambia (sobre todo en la mujer con la menopausia).


Ahora, antes de cerrar el blog yéndonos solo con esta conclusión, tenemos que pensar, que los hombres suelen tener mucha más masa muscular absoluta, por lo que no tenemos que confundirlo con la ganancia similar de forma relativa.
Ahora que sabemos que tanto hombres como mujeres pueden ganar masa muscular de manera similar, ¿Qué pasa con la fuerza?
En general, la fuerza del cuerpo superior e inferior de los hombres es mayor que la de las mujeres en un 157% y un 60 % en relación con la masa corporal total (es decir, a nivel absoluto) entre personas entrenadas y recreativas. Además, las mujeres suelen tener más fuerza en su parte inferior del cuerpo que en su parte superior. No obstante, a pesar de estas diferencias ABSOLUTAS, los hombres y las mujeres aumentan la fuerza en un grado similar después del entrenamiento de resistencia cuando se expresan en términos relativos a la masa magra (nivel relativo), aún que tenemos otras investigaciones, donde se vio que las mujeres podían ganar más fuerza en la parte superior del cuerpo que los hombres.

Las mujeres parecen aumentar más la fuerza que los hombres en la parte superior del cuerpo.
Ahora, ¿Sabías que parece que la investigación nos dice como las mujeres podrían ser más resistentes, tolerar más volumen de entrenamiento y recuperarse antes de las sesiones? En resumen, ser más resistentes a la fatiga.
Vamos a explicarlo…
Como comentamos anteriormente, las mujeres suelen tener más fibras tipo I que los hombres, y los hombres más fibras tipo II, lo que puede hacer que las mujeres sean más resistentes a ejercicios de larga duración.
Por otro lado, las mujeres parecen recuperarse más rápido del daño muscular inducido por el ejercicio, o eso es lo que nos dice la investigación hasta la fecha, y solo hay un estudio que indica lo contrario.
Esta mayor recuperación en la mujer puede ser debido al papel que tiene el estrógeno mejorando el daño muscular y la inflamación, y promoviendo la reparación muscular después de que se produzca el daño.
Por último, las mujeres suelen tener una mejor densidad capilar y perfusión muscular, lo que mejorará el paso del flujo sanguíneo y por ende, el transporte de nutrientes al músculo.
Todos estos factores podrían conllevar a que las mujeres pudiesen llegar a tolerar más volumen de entrenamiento.

Conclusiones
- Los hombres tienen más masa muscular y fuerza a nivel absoluto.
- Los hombres y mujeres pueden ganar masa muscular de igual forma.
- Parece que las mujeres pueden ganar algo más de masa fuerza en la parte superior del cuerpo, aunque necesitamos más investigación para confirmarlo.
- Parece que las mujeres pueden recuperarse mejor del entrenamiento, resistir más a entrenamientos largos y disminuir antes su daño muscular gracias a las acciones beneficiosas del estrógeno.